新型二维原子晶体VSe2的制备及其准二维量子相干输运
何玲
具有本征磁性的二维晶体材料及其磁性是新型二维原子晶体材料及其应用的重要研究方向,在下一代低功耗的信息处理与存储及自旋器件等方面具有潜在的应用。理论计算及实验表明,单层二硒化钒(VSe2)具有本征铁磁性,居里温度高于室温。在强自旋-轨道耦合作用下,其导带底和价带顶的自旋会发生极化,为本征谷极化材料,这使其在自旋电子学与谷电子学等领域具有很好的应用前景。然而VSe2的物性尤其磁性严重依赖于层数,可控制备高质量、少层/单层的VSe2是研究其新奇物性的关键。
中国科学院物理研究所/开云链接官网(中国)有限公司-官网开云链接官网(中国)有限公司-官网高鸿钧院士带领的研究团队多年来一直致力于新型二维原子晶体材料的制备、物性调控及原型器件等方面的研究,并取得了一系列研究成果。近期,他们在VSe2新型二维原子晶体材料体系研究方面,成功实现了单层VSe2的分子束外延可控制备[Sci. Bull. 63, 419 (2018)]及其一维图案化、功能化[Nano Lett. 19, 4897 (2019)]。然而,对其输运特性的研究一直受限于样品转移及厚度控制等方面的挑战。
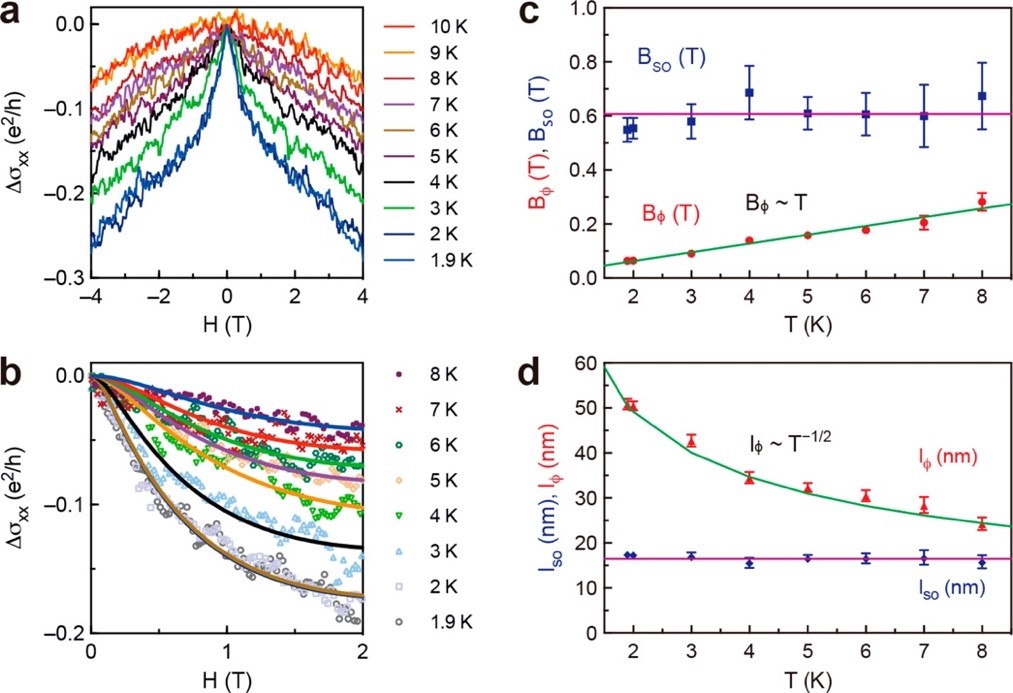
最近,该研究组博士后刘洪涛和鲍丽宏副研究员等利用化学气相沉积(CVD)方法在绝缘衬底上成功地实现了少层VSe2单晶纳米片的可控制备,并对其层数依赖的低温电子输运特性进行了研究。首先他们发展了一种普适的升华盐辅助的CVD生长二维晶体材料的方法。该方法可实现高质量、多种层数VSe2的可控制备,最薄可至2.48 nm(约4层)(图1)。VSe2纳米片的大小及厚度可通过钒源的用量、生长温度、载气中氢气的浓度等进行调控(图1)。在升华盐的作用下,生长温度大幅降低,最低可至400 ℃,从而实现少层VSe2的制备。生长过程中,升华盐高温气化,被载气带走,从而避免了样品的污染。高质量的样品通过X射线衍射(XRD)、拉曼(Raman)、透射电镜(TEM)等表征方法得到确认(图1)。这种制备方法也适用于其它二维晶体材料如二硫化钒(VS2)、二碲化钒(VTe2)、二硒化钨(WSe2)等的合成。基于高质量的、不同厚度的VSe2样品,他们进一步研究了其低温输运性质,并首次在少层VSe2单晶纳米片中观测到弱反局域化(WAL)效应及准二维输运特性(图2–4)。受量子限域效应影响,厚度小于5 nm的样品表现出准二维输运特性,从而观测到弱反局域化效应(图3a与图4),这得益于样品的高质量和少层的厚度。利用HLN理论可以对该弱反局域化效应进行很好的拟合。在1.9 K时,拟合得到的相位相干长度、自旋-轨道耦合长度分别为~50 nm与~17 nm(图4)。退相干机制主要由电子-电子相互作用导致。弱反局域化效应是在比较强的自旋-轨道耦合作用下的一种量子相干行为,该效应的发现表明,少层VSe2中存在较强的自旋-轨道耦合作用。此外,他们在VSe2样品中还发现了由电荷密度波(CDW)引起的迁移率涨落导致的较大的不饱和线性磁阻(图3)。然而,在所有不同厚度的样品中,均未观测到反常霍尔效应,初步判断样品并无铁磁性。其可能原因是样品厚度仍较大,或者CDW态与铁磁相互竞争,CDW态为更稳定的基态。
综上,该项工作发展了一种低温制备层数可控的二维原子晶体材料的方法,为单层VSe2的制备与物性研究提供了一种思路,也会促进基于钒的二维原子晶体材料(VX2,X = S,Te)及其它二维晶体材料的生长与研究。相关工作发表在Nano Letters上(Nano Lett. 19, 4551–4559(2019))。刘洪涛博士和鲍丽宏副研究员为共同第一作者,鲍丽宏副研究员为联系作者。该工作获得国家自然科学基金委(61674170,61888102)、科技部(2016YFA0202300,2018FYA0305800)和中科院(XDB30000000,XDB28000000,20150005)的支持。
文章链接:https://pubs.acs.org/doi/pdf/10.1021/acs.nanolett.9b01412

图1:高质量少层VSe2纳米片的可控制备与结构表征。(a)VSe2纳米片的厚度与生长温度的关系。插图为SiO2/Si衬底上VSe2纳米片的光学显微镜照片。(b)VSe2纳米片的AFM形貌图及厚度。(c)4.2 nm VSe2纳米片的拉曼光谱。插图为207 cm–1处A1g峰的拉曼成像图。(d)VSe2纳米片的XRD图谱及1T相VSe2的标准粉末衍射峰。(e)VSe2纳米片的低倍透射电子显微镜(TEM)图像。插图为VSe2纳米片的选区电子衍射(SAED)。(f)VSe2原子分辨的高角度环形暗场扫描透射电镜(HAADF-STEM)图像。

图2: 不同厚度VSe2纳米片的电阻率与温度的关系。不同厚度VSe2纳米片的电阻率随温度的变化(a),一阶导数(b)及CDW转变温度(TCDW)与剩余电阻比(RRR = ρ300K/ρ2K)(c)。TCDW由电阻率一阶导数的极小值来确定。(a)中的插图是9.6 nm厚的VSe2纳米片的霍尔器件的光学显微镜照片。标尺为5 μm。虚线为厚度为28 nm的VSe2纳米片的TCDW。低温下不同磁场中,厚度为(d)28,(e)9.6和(f)4.6 nm的VSe2纳米片的电阻率与温度的关系。温度为对数坐标。厚度为4.6 nm的样品在低温下出现电子-电子相互作用导致的电阻率增加(f)。

图3:不同厚度VSe2纳米片的磁电阻对比。(a–c)厚度为28,9.6和4.6 nm的VSe2纳米片在不同温度的磁阻:(a)1.9 K,低于TCDW,(b)温度在TCDW附近,(c)在110 K,高于TCDW。(a)中插图为4.6 nm样品低场部分的放大图。低场的向下尖峰为弱反局域化(WAL)效应。(d–f)厚度为28,9.6和4.6 nm的样品的Kohler图。

图4:VSe2纳米片的WAL效应。10 K以下4.6 nm VSe2纳米片的电导Δσxx随磁场的变化(a)及HLN理论拟合(b)。(c)从拟合中提取的退相干散射对应的特征磁场Bϕ、自旋-轨道耦合散射对应的特征磁场BSO与温度的依赖关系。(d)相位相干长度lϕ和自旋-轨道散射长度lSO与温度的关系。