开云链接官网(中国)有限公司-官网乔从丰课题组在微推力测量研究中取得突破
王慧
微电子技术的快速发展、微纳米材料的广泛应用和计算机技术的进步,为微小卫星系统设计制造提供了技术支撑,微小卫星大量应用于近地空间探测和深空探测,例如空间引力波探测任务,包括太极计划、天琴计划和激光干涉空间天线(LISA),均采用微小卫星星座执行探测任务;国内外商业公司发射微小卫星实现互联网连接等功能,包括中国“星网”和美国Space X公司的“星链”计划。微小卫星应用推动了太空探索的发展,也使得太空活动成为一个巨大的产业。
微推进器是微小卫星的空间动力源,微推进器性能直接决定了卫星工作性能及使用寿命。评价微推进器性能的核心是测量推进器的推力范围、分辨率和响应时间。空间引力波探测任务对微推进器的要求是能够产生0-100微牛的推力,分辨率要达到0.1微牛。由于地面上存在众多噪声源,如空气流动、温度变化及地面振动等影响,微牛级推力的精确测量面临挑战。
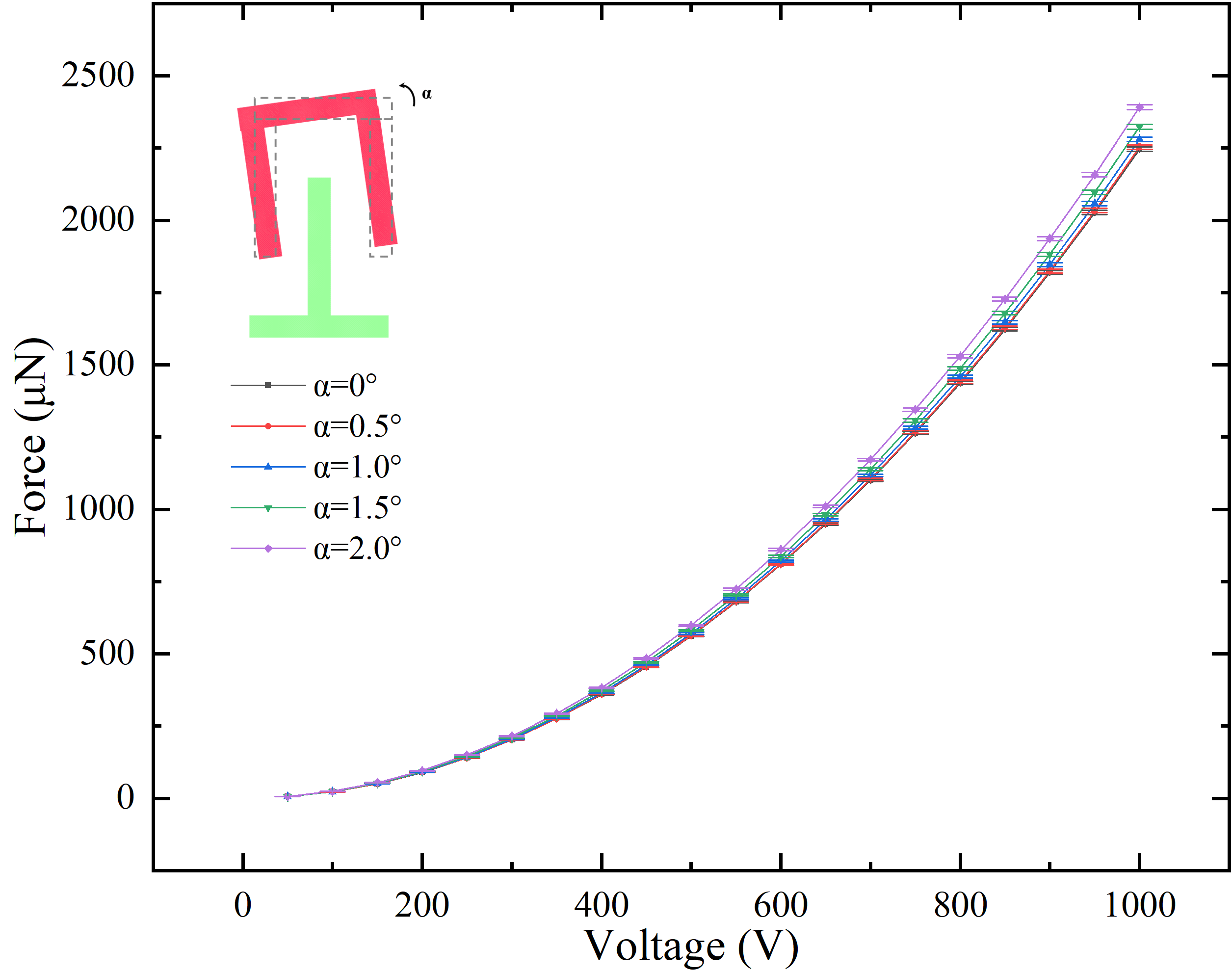
乔从丰课题组研制出了适用于微牛级推力测量的扭摆,测力测量范围1微牛~1毫牛,静态分辨率0.1微牛,并分析和解耦了温度噪声对扭摆的影响(原文,https://doi.org/10.3390/sym13081357)。扭摆标定需要稳定且宽范围的标准力源,乔从丰提出了环形静电梳(Electrostatic Lantern Rings),由于环形结构的对称性,使得径向的静电力被平衡,主要产生轴向静电力,推力范围达到0-2.25毫牛。与标准力源传统静电梳相比,环形静电梳校准力源更稳定、推力范围更广,推力范围超过原先的2倍,推力稳定性提高了2个数量级,有助于进一步提升扭摆标定的精度及测力范围。
环形静电梳已授权国家专利,专利号:CN202120098785.6。该研究成果以“Micro-Newton Thrust Stand Calibration Using Electrostatic Lantern Rings”为题发表在科技期刊《IEEE Transactions on Instrumentation and Measurement》上(原文,https://ieeexplore.ieee.org/document/10026828),作者为国科大在读研究生穆建超,特别研究助理丛麟骁博士,国科大在读研究生胡其炜,通讯作者为乔从丰教授。以上工作得到开云链接官网(中国)有限公司-官网太极实验室、真空物理重点实验室和中国科学院重大仪器设备专项等资助,同时也是国科大“太极实验室”成立以来取得的标志性成果之一。

图1:微牛级扭摆俯视图

图2:环形静电梳模型截面图

图3:不同偏转角下静电力随电压的变化情况