开云链接官网(中国)有限公司-官网吴佳俊课题组在强子复合度关系研究中取得重要进展
李严
粒子的内部结构通常需要通过高能散射实验来探测,比如通过电子与氘核的散射,我们可以知道氘核是一个由质子和中子形成的复合粒子,而不是一个更为基本的粒子。著名物理学家史蒂文·温伯格 (Steven Weinberg) 在 1965 年发现,质子与中子的低能散射实验可观测量与氘核是一个复合粒子的概率之间存在关系,于是质子中子的低能散射实验结果已经为氘核是一个复合粒子提供了证据。
随着强子物理的发展,越来越多的奇特强子态候选者被发现。它们的结构存在争议,并引发了广泛的讨论。比如 Ds0*(2317) 介子可能是以紧致两夸克态为主,也可能是以 D 介子与 K 介子形成的强子分子态为主。而包括 Ds0*(2317) 在内的各种奇特强子态均是寿命极短的不稳定粒子,我们无法像氘核一样利用电子撞击来研究它们的结构,于是温伯格发现的复合度关系变得尤为重要。
国科大吴佳俊课题组与其合作者将温伯格所假定的常数形状因子推广为一般的形状因子,并利用色散方法推广了温伯格的复合度关系。新公式的优势体现在两个方面,第一,新公式能避免温伯格关系的负概率解问题,从而使得复合度的物理意义更加明确,比如由此得到的波函数关系具有合理的概率解释;另一方面,新公式显著地降低了温伯格公式的系统误差,可以更加准确地估计复合度;
该成果以 “Generalization of Weinberg’s compositeness relations” 为题发表在 Physical Review D (Letter) 上。国科大博士生李严为该论文第一作者,合作者包括理论物理研究所郭奉坤研究员、上海理工大学庞锦毅老师(通讯作者)、国科大吴佳俊教授(通讯作者)。

图1: Weinberg 公式与新公式的对比

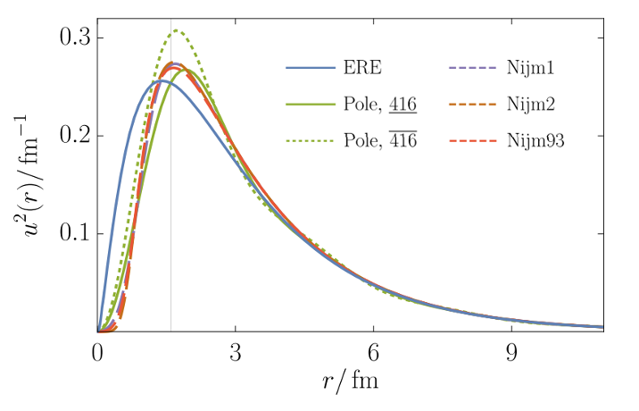
图2: 新公式对氘核波函数的预言与模型结果的对比