水微观新结构理论预言被实验证实

黄子旗

       水是地球上最常见的液体,在众多的物理、化学和生物过程中都扮演着极为重要的角色。与其他液态相比,水表现出许多反常特征,如水在0到4摄氏度间热缩冷涨,降温时水的等温压缩系数和等压热熔会反常升高等。我们对水的理解至今仍远不能称完善。一般认为液态水中存在低密度与高密度两种水微观结构,随温度压强变化发生互相转化,是水的各种反常行为的原因[1-3]。

       开云链接官网(中国)有限公司-官网周昕教授、中科院物理所叶方富研究员和杨成博士等,通过分子动力学模拟并发展高效数据分析方法,于2019年预言液态水中还存在第三种微观结构,超高密度态。该结构具有反常识的五氢键结构[4],它的存在及转化对液态水的性质、结构和动力学行为有重要影响。最近,由香港中文大学、中科大和重庆大学组成的研究团队通过X射线衍射实验,证实液态水中除存在低密度成份和高密度成份以外,确实存在新的第三种成分,并进一步证明其特征与理论预言的超高密度5氢键态完全吻合[5],从而证实液态水的三态混合结构模型。

20230306201

图1 水的相图。C是气液相变临界点,C‘是液液相变临界点。

       目前存在多种理论,试图解释水的各种反常特征,其中液液相变理论【1】获得了较多的支持。这一理论认为水除了气液相变临界点外,在低温高压下还存在一个液液相变临界点(图1)。水在通常温度与压强区处于这个液液相变的超临界区,是水的两种微观结构,低密度态与高密度态的混合。在低密度态中,水分子与其最近邻的四个水分子通过氢键相连接,并形成对称的四面体空间结构;而在高密度态中,水分子与其最近邻分子形成的四面体结构发生了坍塌,造成第二壳层水分子进入到第一二壳层之间的间隙中,从而使得局域密度升高。水的各种奇异性质都是由这两种成份之间的互相转化而引起的。由于液液相变临界点存在于超冷区域,实验上极其难以测量[2,3]。而在超临界区域,由于噪声的干扰,对水分子的这些微观结构常难以有效区分。周昕教授、叶方富研究员与杨成博士经多年努力,使用多种水分子模型进行分子动力学模拟,并应用他们发展的基于模拟轨道动力学平均的轨道映射分析方法,有效降低噪声,对比水的固有结构(inherent structure), 从大量序参量中筛选得到局域结构指标(I)和第五近邻分子距离(r5)这两个序参量的联合分布可以有效的刻画水的更加细致的微观结构,发现液态水中除了较为公认的低密度(L)与高密度(H)结构外,还存在一种全新的结构(U),见图2。

20230306202

           图2  I-r5联合分布。整个分布可以明显的将水分子分成三种成分。[4]

20230306203

图3 三种成分的微观结构示意图。L代表低密度结构,H代表高密度结构,U代表超高密度结构(五氢键结构)。[4]

       这种水微观新结构——超高密度(五氢键)水结构,能与五个最近邻水分子形成氢键(图3),这也是其超高密度的来源。这一成分随温度上升而增加,在常温常压下含量可以达到7%左右(图4)。这些具有五氢键的水分子行为十分独特,它们并不凝聚在一起,而是分散在通常的水高密度结构(H)之中(图4)。水的这种超高密度结构的存在扰乱了水分子的氢键网络,它们的发现对更全面理解液态水性质,特别是其微观动力学行为有重要意义。该研究成果以“Ultra-high-density local structure in liquid water” 于2019年发表在《Chinese Physics B》上。论文第一作者为杨成博士(绵阳师范学院讲师);通讯作者为国科大开云链接官网(中国)有限公司-官网周昕教授和中科院物理所叶方富研究员;张传彪博士(菏泽学院副教授)对论文也有重要贡献。

20230306204

图4 (a)三种成分分子的空间分布,红色代表超高密度分子,白色代表高密度分子,绿色代表低密度分子。(b)三种成分所占比例随温度的变化情况。[4]

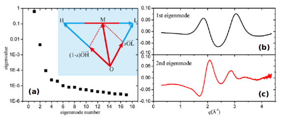
       最近由香港中文大学徐磊教授、中科大和重庆大学组成的研究团队通过X射线衍射实验,获得了水的结构因子曲线。通过对结构因子进行主成分分析,他们发现在水中除了低密度成分和高密度成分外,确实还存在一种新的第三种成分(图5)[5]。

20230306205

图5 (a)对结构因子进行主成分分析所得的本征值,前两个本征值明显大于其他本征值,这表明水中存在三种主要的成分,(b)第一本征矢,(c)第二本征矢。[5]

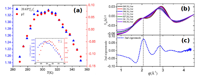
       为了确认实验中所观察到的第三种成分就是理论预言的五氢键结构,该研究团队通过与分子动力学模拟相结合,对模拟中得到的五氢键成分进行分析,发现其特征与实验中获得的第三种成分特征完全吻合(图6)。水中第三种成分的实验证实,完善了开云链接官网(中国)有限公司-官网水的微观结构的认识,对进一步理解水的各种性质特征行为具有重要意义。

20230306206

图6 (a)实验所得的结构因子在第二本征矢上的投影与模拟所得的低密度成分和五氢键成分的对比,(b)模拟所得的五氢键成分的结构因子,(c)实验所得的第二本征矢。[5]

参考文献

[1] P. H. Poole, et al., Nature, 1992, 360, 324-328

[2] J. A. Sellberg, et al., Nature, 2014, 510, 381-384

[3] K. H. Kim, et al., Science, 2020, 370,978-982

[4] C. Yang, C. Zhang, F. Ye and X. Zhou, Chin. Phys. B, 2019,28,116104

[5] Z. Jin, et al., Soft Matter, 2022,18,7486-7496